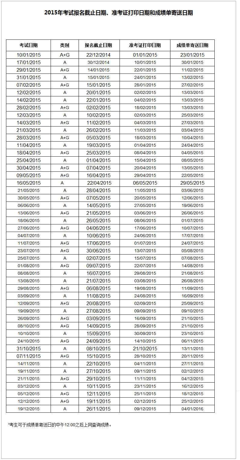
2014年在不知不觉中已经悄然逝去,所以2014年的雅思考试也全部结束。那么要参加2015年雅思考试的考生注意啦,官方雅思考试动态要时刻关注,本文为大家带来关于2015年雅思考试报名截止日期的通知,供大家参考!

以上即是关于2015年雅思考试报名截止日期的通知,希望大家能够关注,可以看到,虽然2014年已经过去,但是2015年的雅思考试还是一如既往的火热。参加2015年雅思考试的考生们注意啦,掌握2015雅思考试动态是十分关键的!最后,小编祝大家考出满意的雅思成绩。更多出国考试信息请继续咨询百利天下雅思频道。
您还可能关注:

