数据填充题(Data Sufficiency)不仅要求考生具备基础的数学知识和熟练的计算技巧,而且更注重检验考生分析定量问题的能力。今天我们就来讲一下GMAT数据充分性试题OG练习题分析第八部分。
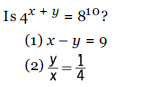
41

解析:4可以写成2的平方,8可以写成2得3次方,这样两边就对齐了,也就是2x+2y=30,简化就是x+y=15,那么有满足这个条件的唯一答案就可以。条件一这样的xy有很多,不满足。条件二也是,但是两个条件合起来,就可以得出唯一一对满足得值,所以答案是C
42. Can a certain rectangular sheet of glass be positioned on a rectangular tabletop so that it covers the entire tabletop and its edges are parallel to the edges of the tabletop?
(1) The tabletop is 36 inches wide by 60 inches long.
(2) The area of one side of the sheet of glass is 2,400 square inches.
翻译:怎样才能使一个矩形玻璃板完全覆盖一个矩形桌子,并且与桌面边缘平行。
(1) 桌子长60,宽36
(2) 玻璃盖子一面的面积是2400.
解析:只有玻璃盖子的形状与长方形桌子相似或者全等才能完全罩住。条件一给出桌子长宽,条件二给出玻璃盖子面积,但是形状确定不了。所以两个条件度不能满足要求,答案是E
43. If p1 and p2 are the populations and r1 and r2 are the numbers of representatives of District 1 and District 2, respectively, the ratio of the population to the number of representatives is greater for which of the two districts?
(1)P1>P2
(2)R2>R1
翻译:P1.P2表示地区一和地区二的人口数,R1,R2表示这两个地区的代表人数。那么代表人数占据总人数的百分比这两个地区那个大?
解析:比率就是PI/R1,P2/R2比较大小。条件一和条件二都不能单独满足,两个条件结合在一起可以得出第一个区域大于第二个区域(分子大,分母小,比例大)答案是C
44. In a random sample of 80 adults, how many are college graduates?
(1) In the sample, the number of adults who are not college graduates is 3 times the number who are college
graduates.
(2) In the sample, the number of adults who are not college graduates is 40 more than the number who are
college graduates.
翻译:在一个由80个成年人组成的随即样本中,有多少大学生?
(1) 人群中非大学生是大学生的3倍
(2) 非大学生比大学生多40人
解析:知道大学生和非大学生的关系就能知道具体数量。条件一和条件二都单独满足。答案是D
45. The table above shows the distance, in kilometers, by the most direct route, between any two of the four cities, R,S, T, and U. For example, the distance between City R and City U is 62 kilometers. What is the value of x?

(1) By the most direct route, the distance between S and T is twice the distance between S and R.
(2) By the most direct route, the distance between T and U is 1.5 times the distance between R and T.
翻译:方格里边的数表示两地之间的直接距离,RU相距62千米,那么X是多少?
(1) ST之间的直线距离是SR之间直线距离的2倍
(2) TU之间的直线距离是RT之间直线距离的1.5倍
解析:知道四个地点的位置就能得出X得值。X表示RT之间的距离,ST之间的直线距离是SR之间直线距离的2倍,那么56=2y,得出y,但是X不知道条件二1.5x=69可以求出X所以答案是B
》》点击了解GMAT数据充分性试题OG练习题分析(七)
以上就是关于GMAT数据充分性试题OG练习题分析的内容介绍,希望考生通过以上内容,不断夯实自己的知识点,熟练做题技巧,提升解题能力以及分析能力,争取都能取得理想成绩。
您还可能关注:

