数据填充题(Data Sufficiency)不仅要求考生具备基础的数学知识和熟练的计算技巧,而且更注重检验考生分析定量问题的能力。今天我们就来讲一下GMAT数据充分性试题OG练习题分析第十部分。
51. A clothing store acquired an item at a cost of x dollars and sold the item for y dollars. The store’s gross profit from the item was what percent of its cost for the item?
(1)y-x=20
(2)Y/x=5/4
翻译:一件衣服进价x售价y,那么这件衣服的毛利是进价的多少?
解析:计算公式是(y-x)/x=y/x-1.所以,可以看出条件二满足,答案是B
52. If x and y are positive, is x < 10 < y?
(1) x < y and xy = 100
(2) x2 < 100 < y2
翻译:x,y都是正数,那么有什么条件可以满足x < 10 < y?
解析:条件一,xy = 100,假如xy相等,那么分别是10,有知道x < y, 所以知道一个大于10,一个小于10,所以条件一满足。条件二x2 < 100得出x<10, 100 < y2得出y>10,所以条件二也满足。,答案是D
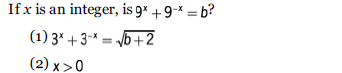
53

解析:9等于3的平方,条件一,两边平方得出满足条件,任意整数X都可以。答案是A
54. A taxi company charges f cents for the first mile of the taxi ride and m cents for each additional mile. How much does the company charge for a 10-mile taxi ride?
(1) The company charges $0.90 for a 2-mile ride.
(2) The company charges $1.20 for a 4-mile ride.
翻译:某一出租车公司,出租车行驶第1英里,收费F cents,行驶其他英里,每行驶一英里收费另加M cents那么行驶10英里收费多少?
(1) 行驶2英里收费$0.90
(2) 行驶4英里收费$1.20
解析:F cents+M cents=$0.90,F cents+3M cents=$1.20
就可以知道FM是多少。才可以知道行驶10英里费用是多少,注意单位变化。答案选择C
55. Guy’s net income equals his gross income minus his deductions. By what percent did Guy’s net income change on January 1, 1989, when both his gross income and his deductions increased?
(1) Guy’s gross income increased by 4 percent on January 1, 1989.
(2) Guy’s deductions increased by 15 percent on January 1, 1989.
翻译:G的净收入等于毛收入减去扣掉的部分,那么January 1, 1989他的毛收入和扣掉部分都增加了,那么净收入有什么变化多少百分比?
(1) G的毛收入增加了百分之4
(2) G的扣除部分增加了百分之15
解析:n=g-d 条件一:{(1.04g-d)-(g-d)}/(g-d)=?同理条件二也是不满足。合起来还是不满足,答案是E
》》点击了解GMAT数据充分性试题OG练习题分析(九)
以上就是关于GMAT数据充分性试题OG练习题分析的内容介绍,希望考生通过以上内容,不断夯实自己的知识点,熟练做题技巧,提升解题能力以及分析能力,争取都能取得理想成绩。
您还可能关注:

